不仅如此,相比较之前的版本来说,该全新Maplesoft Maple2022不但完美结合了其领域内最新最强大的数学引擎和界面设计,以及对各种其他布局进行了增强,以可以轻松支持您在Maple中的工作、使得您可以获取到专业且又简单的操作流程体验之外。与此同时在功能方面,Maple 2022也进行一系列化的改进和增强,例如大量增强数学引擎增强了对许多数学领域的支持,并改进了客户和其他 Maple 命令经常使用的基本例。还包括改进了粒子物理学的显着增强、广义相对论中的函数微分、积分向量微积分以及整个软件包的性能等,为物理学中的代数计算分享了最先进的环境。以及增添了Plot Builder的扩展绘图生成器和一些重要可视化改进,使普通绘图更好,并为大家分享更专业的选项,让你可以轻松创建绘图并对其进行调整等,致力于以此节省你的宝贵时间,大大提升你的工作效率。
Ps:本次为大家分享的是Maplesoft Maple 2022中文破解版,软件内附专业破解文件可完美激活程序,知识兔小编亲测真实可用,具体破解安装教程还可详细参考下文,欢迎有需要的朋友前来本知识兔免费下载体验咯!

软件特色
1、轻松准确地求解数学问题,而不必担心手工失误。2、快速求解数学问题,求解那些手工计算难以实现的问题,并且省时省力。
3、可以在单一文件中组合计算、文字、图形、视频、声音、和模型等,不需要浪费时间重建您的思路过程。
4、易学易用的编程语言,可以开发复杂算法、高级应用程序、或者计算书,并且代码更短、易于编写、易于调试、易于维护。
5、创建交互式应用程序 ,无需是专业程序猿,并且可以通过网络分享应用。
6、解决几乎所有数学领域或者依赖于数学的相关领域的问题,内置超过6,000个计算命令,100多个算法函数包,包括:微积分函数包、线性代数函数包、统计和数据处理函数包、金融建模函数包、信号处理函数包、深度学习函数包、图论函数包、微分几何函数包、组合数学函数包、离散变换函数包、动态系统函数包、优化函数包、物理函数包等。
7、洞察您的问题、答案、数据、概念,通过分享广泛类型的 二维和三维图形、动画,包括隐式、等高图、复数、极、向量场、密度、保角变换、常微分方程、偏微分方程、统计图、时域和频域响应图、根轨迹图、根轮廓图等
Maple 2022破解安装教程
1、从知识兔下载解压后,即可得到Maple 2022源程序和破解文件
2、双击“setup_Windows.exe”文件运行,勾选接受协议

3、选择软件安装路径,一般默认即可

4、许可安装类型选择Single Use License

5、注意:此处去掉升级勾选

6、耐心等待安装完成,先将默认启动程序取消,暂不运行

7、此时,先将破解文件“maple.dll”复制到软件安装目录下进行替换
默认安装目录为【C:\Program Files\Maple 2022\bin.X86_64_WINDOWS】

8、接着再将破解文件“license.dat”复制粘贴到软件许可证目录下
默认安装目录为【C:\Program Files\Maple 2022\license】

9、至此,软件Maplesoft Maple 2022即为安装激活成功,所有功能可无限制免费使用哦!

基本使用教程
1、点击新建,新建个文档
2、或者点击文件中的文件模式进行新建

3、输入(1-x^2),按“/”键会发现自动为分子,再输入1+x^2变为分母

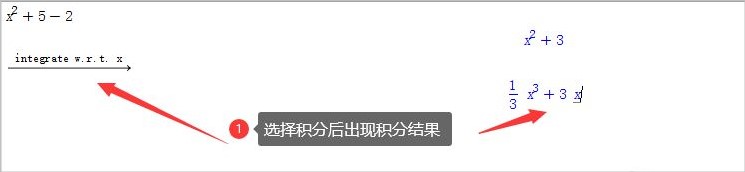
4、输入x^2+5-2函数,点击回车,输出结果

5、再在输出结果中右击选择选项,例如选择积分integrate

6、积分选择后,显示积分的结果

7、在积分结果右击选项选择plot中的2D-plot选项,绘制函数的图像

怎么用Maple求函数的导数
1、Maple的基本界面如下知识兔在下面箭头所指的地方贴代码,并得到运行结果,也可以创建新文档

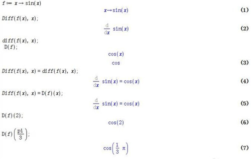
2、举个简单的例子,求f(x)=sin(x)的导数。
先定义函数:f:=x->sin(x)

3、Diff(f(x),x);
这个命令的运行,并非求导,而是返回求导符号

4、求导,可以使用diff(f(x),x);也可以使用D(f,x);
比较一下二者的区别

5、如果要输出一个完整的求导公式,就这样:Diff(f(x),x)=diff(f(x),x)

6、还可以这样:Diff(f(x),x)=D(f)(x)

7、如果要计算函数在x=2的导数:D(f)(2);
pi在Maple里面表示π:D(f)(pi/3);

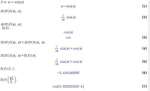
8、如果知识兔在数字后面加上小数点,就得到数值形式:
D(f)(2.);D(f)(pi/3.)

新功能介绍
1、高等数学:Maple 2022 包括大量增强数学引擎的改进,扩展 Maple 处理新数学领域和更快解决更难问题的能力。除了其他地方更详细描述的数学改进之外,Maple 2022 增强了对许多数学领域的支持,并改进了客户和其他 Maple 命令经常使用的基本例程。2、打印布局:现在,使用新的打印布局模式可以更轻松地准备文档以进行打印和 PDF 导出。此模式无需在文档和打印预览之间来回切换以测试更改的效果。
3、绘图生成器:Plot Builder 是一个交互式助手,用于创建和自定义各种 2-D 和 3-D 绘图和动画。使用绘图生成器,您可以轻松创建绘图并对其进行调整,而无需知道单个绘图命令或选项名称。
4、可视化:除了 Plot Builder 的扩展,Maple 2022 还包含一些重要的改进,使普通绘图更好,并分享更专业的选项。
5、分步解决方案:循序渐进的解决方案让学生有机会练习解决问题,而不仅仅是给他们一个最终答案来验证他们自己的结果。 Maple 2022 中的新分步工具可帮助学生学习表情简化和曲线素描

6、创建和共享交互式内容:创建和共享交互式内容 Maple 2022 分享了用于以编程方式创建文档和交互式应用程序的其他工具。这些工具可用于开发 Maple Learn 内容或创建要在 Maple 中使用的应用程序。
7、界面:除了其他地方描述的更改之外,Maple 2022 还包括对界面的各种其他增强,以支持您在 Maple 中的工作。
8、正式电源系列:Maple 2022 完全重写了使用正式幂级数的功能。与以前的版本相比,它具有许多优势:
9、信号处理:信号处理 SignalProcessing 包包括用于生成和分析信号的新命令和增强命令。
10、热物理数据:ThermophysicalData 包的 Chemicals 子包已更新为选定物种的新属性:吉布斯能量。这个新属性让您可以模拟化学反应自发性和平衡问题。
11、物理:Maple 为物理学中的代数计算分享了最先进的环境,重点是确保计算体验尽可能自然。 Maple 2022 的许多改进包括粒子物理学的显着增强、广义相对论中的函数微分、积分向量微积分以及整个软件包的性能

软件亮点
1、支持任意精度的符号和数值计算2、基本和特殊的数学函数库
3、复数和区间运算
4、有理数,有限域,代数数域和代数函数域上的多元多项式的算术,最大公约数和分解
5、微分代数
6、矩阵操作工具,包括对稀疏数组的支持
7、数学函数图形和动画工具
8、方程组,丢番图方程,ODE,偏微分方程,DAE,DDE和递归关系的求解器
9、用于离散和连续微积分的数字和符号工具,包括确定和不定积分,有限和无限求和,自动微分和连续和离散积分变换
10、受约束和不受约束的局部和全局优化
11、统计包括模型拟合,假设检验和概率分布
12、用于数据处理,可视化和分析的工具
13、概率和组合问题的工具
14、支持时间序列和基于单位的数据
15、连接到在线收集财务和经济数据
16、财务计算工具,包括债券,年金,衍生品,期权等
系统要求
1、操作系统:Windows 7/8.1/10 (x64)2、CPU:AMD X86_64 1 GHz Intel Xeon,Intel 64
3、内存:4 GB
4、空间:4 GB
下载体验
